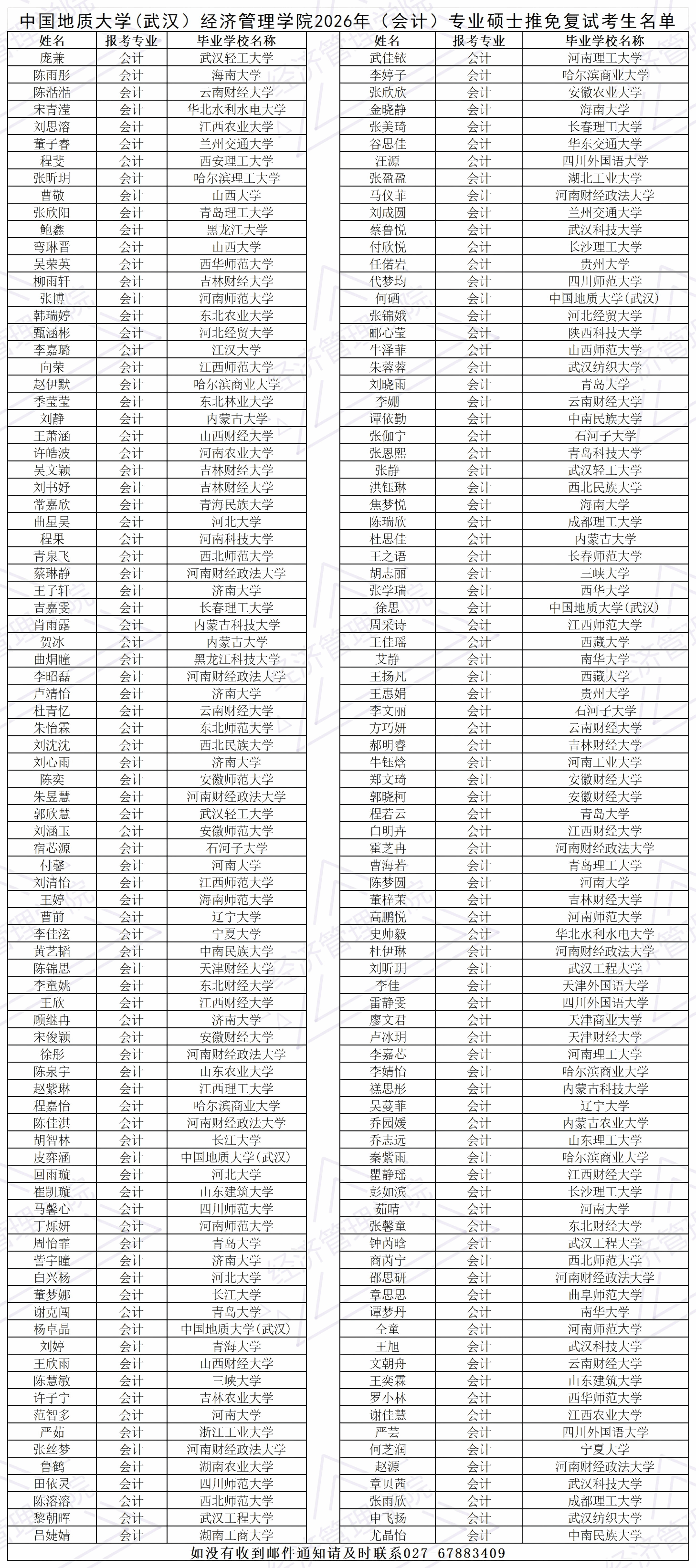
发布人:陈永佳 发布时间:2025-09-19 点击次数:
韦德博彩-韦德博彩官网 地址:湖北省武汉市东湖新技术开发区锦程街68号
电话:027-67883201 邮编:430078
ICP备案号:鄂ICP备05003343号